设为首页(yè)| 收藏本站| 联系我们

MYLT-38虹吸演示仪

虹吸演示仪功-能说明:
1、外形尺寸:1000×350×1800mm
2、工作电压:220V   功率:200W
二、
主要用(yòng)途:
1、演示虹吸的成因(yīn)和破(pò)坏及其在管中的压强分布(bù)规律。
三、
主要配置:
1、移动式不锈钢实验台;
2、供水箱;
3、水(shuǐ)泵;
4、低位水槽(cáo);
5、高位水槽;
6、虹吸管;
7、测(cè)压管等。

四、实验原理
在生产和生活(huó)中,常见用一根管子从大容器液面下绕过容器上口(kǒu)向外导流液体。这种管子(zǐ)称为虹吸管,管内的水(shuǐ)流现象(xiàng)称为虹吸现象。虹吸管的工作原理是先将管中空(kōng)气抽出,使虹吸管路形成真空(kōng),在(zài)大气压强的作用下,高水位水(shuǐ)箱的水从管口上升(shēng)到管的顶部,然后流向低水位水箱。
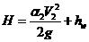
下面应用稳定(dìng)总流量能量方程(chéng)来分析和求解虹吸(xī)管水流的流速、流量、虹(hóng)吸高度等问题。
下图中(zhōng),首先选取通过虹吸管水流出口点的水平面0—0 ′为(wéi)基准面(miàn)。然后根据已知条件,正确选择计算断面,为了求解管内流速及流量,我们应选取通过水池表面A点的断面1—1和通过虹吸管出(chū)口处C点的断面2—2,列(liè)出稳定总流量能量方程:

由上式可以看出,虹(hóng)吸管引流液体的能量来自虹吸管出口至容器内水面间的位能(位置水头)H,它的一部分用于克服虹吸(xī)管(guǎn)内的阻力,即(jí)损失能量hw,另一部分用于转(zhuǎn)变为流(liú)速(sù)水头,以保证有一定的流量流出。由(yóu)此可得虹(hóng)吸管内的断面平均流速为:


五、实验步骤
1.将测压小水(shuǐ)箱(xiāng)中加水至1/2。为增加演(yǎn)示效果,可在水中加入少量红墨水。
2.开启水泵,向高水(shuǐ)位(wèi)水箱,低水位水箱(xiāng)注水(shuǐ),使高水位水箱有溢(yì)流,低水位水箱水位达到2/3后,关闭供水(shuǐ)阀。
3.打开低位水箱的放水阀,在虹吸管形成真空后,水(shuǐ)流将由高位(wèi)水箱(xiāng)向低位水箱流动,同时能看到(dào)测压小水箱中的各测压管中的水位的变化,显示管路中各处(chù)的真空压力值,其它两根用以测量虹吸管路中(zhōng)弯管流量计的压差。
4.打开螺塞,吸入空气,可观察虹吸(xī)之破坏过程。
六、思考题(tí):
1、为什么虹吸式出水流道出口下方会出现涡旋?
2、如何消除虹吸(xī)式出(chū)水流道出口下方出(chū)现的涡旋?

其他相关产品链接:
流体力学综合实验(yàn)装置
动量定(dìng)律实验装置
平面静水总压力实验仪
空气动力学多功能实验台(多功能风洞)
离心泵综合实验(yàn)装置
数据采集离心泵特性曲线测(cè)定实(shí)验装置
数(shù)字型流体流(liú)动阻力实验装置
单容水箱液位PID控(kòng)制实验和PLC上下水(shuǐ)箱液位串
数据采集型(xíng)雷诺仪
流量检测及控制系统
流体力学综合实验台
离心泵特性曲(qǔ)线测(cè)定(dìng)实验台(tái)
数(shù)据采(cǎi)集离心式风机性能实训台
自循环动量定律综合型实验仪
局部阻力系数测定实验装置
沿程阻力实验装置
风室(shì)型风机性能测试实验装置(zhì)
空气(qì)纵掠平板放热系数测试装(zhuāng)置(zhì)
雷诺和伯努利综合实验装(zhuāng)置
焓差法空调实验装(zhuāng)置
雷诺(nuò)和伯努(nǔ)利(lì)方程综合实验台
油槽流线仪(yí)
离心泵综(zōng)合试验台
空压机性能测试实(shí)验装置
流体力学综合实验设备
自循(xún)环明渠水槽
伯(bó)努利方程仪
自循环水击实验装置(zhì)
自循(xún)环文(wén)丘(qiū)里(lǐ)流量实(shí)验仪
轴流式风机性能实验台
离心式风机性能实(shí)验台
管路串并联实(shí)验装置
自循环明渠水力学(xué)多功能实验仪
毕托管流速测(cè)量实验装置
静压(yā)传(chuán)递演示仪
雷诺仪
多功能附面层实验台
雷诺实(shí)验(yàn)设备
板式塔流体力学实验装置
离(lí)心泵综合实验设备
伯努(nǔ)利实验装置
紊动机(jī)理演示(shì)实验台
烟气流线仪[烟风洞]
离(lí)心(xīn)泵综(zōng)合实(shí)验装置
平面静水总压力实验台
能量方程仪
自循环虹吸实验装置
水静压强仪
旋涡仪
台式静水压强实验装(zhuāng)置
流动图(tú)形演示实(shí)验装置
孔口管嘴仪
自循环空化(huà)机(jī)理实验装置
液(yè)体流线仪[油槽流线仪]
变底坡活动小水槽
离(lí)心泵性能测定实验系统
双变坡水槽实验装置
流体力学综合实验装(zhuāng)置
空(kōng)气动力学实验装置
流线流瀑实验装(zhuāng)置
动量仪(yí)

友情提示:
1、设备验收:各采购单(dān)位收货时请检查虹吸(xī)演示(shì)仪的货(huò)品外(wài)观,核实的
虹吸演示仪及配件,拒收处于受损状态的设备;
2、设备质保:红桃视频app将为各采购单位提供虹吸演示仪说明书,在质保范围内提供(gòng)对
虹吸演(yǎn)示仪的免费维修,超出条件承诺时提供对设备的(de)有偿维修;
3、设备退换货:各采购单位单方面原因导(dǎo)致
虹吸演示仪(yí)的选型(xíng)错误或购实验设备数量错误,造成设备的退(tuì)换货要求,将不被接受;
4、设备货期:对虹吸演示仪的(de)发(fā)货(huò)期为参考值,如您(nín)需要了解
虹(hóng)吸演示仪的精确货期,请与上海红桃视频app公司的销售人员联系;
5、
咨(zī)询电话:如各采购单位对虹(hóng)吸演示仪有任何疑问,请致电:021-56311657 ,我们将由专业技术人员为您提供有关(guān)虹吸演示仪的(de)技术咨询。

我(wǒ)们的(de)优势(shì):

品牌理(lǐ)念品牌理念 标准流程 标准流程 有效沟通有效沟通专业管理 专业管理客(kè)户视图 客户(hù)视图优秀团(tuán)队(duì)优秀团队品质保证品质保证无忧售后无忧售后
上海(hǎi)红桃视频app科教设备有限公司,立于上海,心怀天下
生产基地:上海松江叶榭工业园

业务电(diàn)话:021-56311657 , 56411696 , 业务传真:021-56411696 公司邮箱:shanghaimaoyu@126.com
教学设备厂 沪公网安备(bèi) 31010702001294 号 沪ICP备13020377号-1
备案
网站地图 红桃视频app-17c起草红桃国际-星空无限传媒红桃视频-红桃影视tvapp免费下载