离心泵综(zōng)合实验台使用说明
离心泵综合实验台是(shì)可(kě)以进行(háng)离心泵特性曲(qǔ)线测定实验、离心泵汽蚀实验和离心泵启停及串并联(lián)实验的一种多功能综(zōng)合实验(yàn)台(tái)。
一、试验台的(de)结构及工作原理
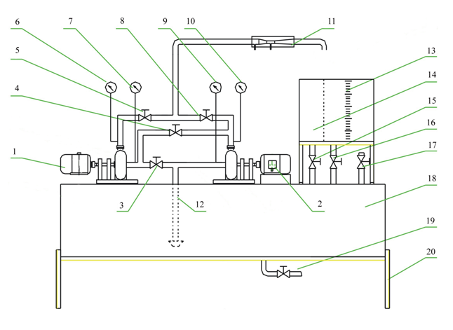
1、试(shì)验台的结构如(rú)图所示。

试验台的结构示意图
1、泵Ⅰ 2、泵Ⅱ 3、进水阀 4、串联阀 5、出水阀(泵1) 6、压力 7、真空
8、出水阀(泵Ⅱ) 9、真空 10、压力 11、孔板流量计(jì) 13、计量水(shuǐ)箱 14、回水箱
15、回水阀 16、计量水箱放水阀(fá) 17、排气阀 18、水箱 19、放水阀 20、试验台支架
实验台主要由水泵1(用以测(cè)泵特性及串并联(lián)实(shí)验)、水泵2(用以测泵的汽蚀余量和串并联实验)、水箱、U型管、计量水箱、压力表、管道及阀门等组成。实验时,利用各阀门的开、关和调节,形(xíng)成泵1的单台泵工作回路(lù),在不同流量下,测定(dìng)一组相应的压力、真空、和流(liú)量计的差压计(jì)的读数(或利(lì)用计量水箱和秒表(biǎo)来计量(liàng)),即可得出一组泵的流量Q、扬程H,实用功率(lǜ)N等数据,可以绘(huì)出泵(bèng)的H-Q,N-Q和η-Q等特征曲线。进行泵的汽蚀实验时(shí),利用相应阀门的开、闭和(hé)调节,形成泵2的单泵工作回路,并使水箱成为基本(běn)的封闭的容(róng)器,水泵抽水时,使水箱由于水的抽出而产生真空,从而使泵的进口(kǒu)压力减少,直到发生汽蚀,测出(chū)泵的汽蚀余量(liàng)ΔH。再进(jìn)行泵的串联(lián)或并(bìng)联回路,测定串联和并联(lián)时运行特性。
二. 实验台的主(zhǔ)要指标(biāo)和参数
离(lí)心泵
最大扬(yáng)程:11m
最大流量:4.5

泵进口(kǒu)管径d: 32 mm
电机额定(dìng)功率:750 W 电机额定转速:2840转/分
三、安装说明
试验(yàn)台为整体发运,包装在(zài)一个木箱内。开箱时,请仔细拆除包装定位支撑、固(gù)定压板和捆绑绳索等,避免(miǎn)损(sǔn)坏试验(yàn)台及其附件。试验台应安放在平整的地面上,并尽可能垫平。
在(zài)接电运转前,必须做(zuò)好(hǎo)下列准备工作:
1.仔细检(jiǎn)查各阀门、接头和表头等有无(wú)松动,如有松动,应加以(yǐ)紧固;
2.用橡(xiàng)胶管将孔(kǒng)板的测压口与压差计相连接;
3.将水(shuǐ)箱注满(mǎn)水,并使泵内全部充满水。完成上述安装工作以后,即可接(jiē)电试运转。启动水泵,观察有无漏水现(xiàn)象,如漏水,应设法(fǎ)处理。
4.试验台应很好的接地,以保安全!
四、离心泵综合实验台(tái)使用操作说(shuō)明
1、泵的特性实验(yàn)
(1)试验前准(zhǔn)备
①将水箱注满水,高位高出水泵高度
②关闭阀门4,8;打(dǎ)开阀门5。
(2)进行试验
①启动泵1。泵运转后,即打开阀门3,再关闭(bì)阀(fá)门5。此时(shí),流量(liàng)为0,为(wéi)空载状态。测量压(yā)力6,真空压力(lì)7的读数和电机的功率。
②打开阀门5至一定开度,水泵开始给水,再测读压力6、真(zhēn)空(kōng)压力9、流量计(jì)的读数和电机的功率。泵的(de)流量也可用计量(liàng)水箱和秒表(用户(hù)自备)来测(cè)量。
③逐步(bù)开(kāi)大(dà)阀门5,改变泵的流量(一般改变(biàn)10-15次),在每一流量下,测量并记录上述试验数据。
这样,可以测得相应于不同流量下的试验数据,从而就可以绘(huì)出泵(bèng)的特性曲(qǔ)线。
2、水泵的汽蚀现象演示(shì)试验
(1)试验前的准备
①将水箱(xiāng)注满水,直至排气(qì)阀17溢出水为止。关闭排气阀。
②关闭(bì)阀门3,4,5,15,打开阀门(mén)8,16。
(2)进行试验
①启动水(shuǐ)泵(bèng)2。
②调节阀门8,调至某一流量

。
③在此流量下,将阀门16由开启向关闭方向逐步调节,使水箱内的真(zhēn)空度(dù)逐步增大,每调节一次,同时测读流量计读数、真空8的读数Hs和压力10读数H(扬程)。继续调节阀门16,直至压(yā)力10的读数发生剧烈颤动(dòng)或急剧下(xià)降为止(即发(fā)生(shēng)汽蚀)。
3、两台泵的串联运行试验
(1)在相同流量下,测出单台泵运行时的泵1和泵2的扬程H
1和H
2。其试验步骤和方法可参(cān)照泵的特性试验方法。
(2)在与单台泵运行时的相(xiàng)同得流量下,测出两台泵(bèng)的(de)串联时的扬程 H
串可以得(dé)出H
串= H
1+ H
2。具体步骤如下(xià):
①打开阀(fá)门15;关(guān)闭阀门3,4,5,8,16。
②接通电源,首先启动泵2,运行正常后,打开串联阀(fá)门4,再启动泵1,待运行正(zhèng)常后,然(rán)后打开阀门5。
③调节阀门5,使流量指示与单台泵运行时相同。
④在压力6和(hé)10上进行扬(yáng)程H
串和H
2读值。
4.两台泵的并联运行试验
(1)在相同的扬程下,测出单台水泵进行时泵1和泵2的流量Q
1和Q
2。
(2)在与单台泵运(yùn)行时的(de)相同的扬程下,测(cè)出两台泵并(bìng)联(lián)时的流量Q
并,
得出(chū):Q
并 = Q
1+ Q
2。具体(tǐ)步骤如下:
-
开阀门3,15;关闭阀门(mén)4,5,8,16。
-
启动水泵1和水泵2,运行正常后,打开阀门5,8。
-
调节阀(fá)门5,8,使压力6,10的(de)扬程(chéng)一(yī)致,并与单(dān)台泵运行使相同。
-
用流量计或计量水箱进(jìn)行流量Q并测量。
[注]1.上述泵的串、并联运行试验,可(kě)以进行多个流量下的串联运行试验和多个扬程下的并联运行试验,以观察和验证泵(bèng)的串、并联(lián)运行时的(de)基本规律。
2.泵的串(chuàn)、并联试(shì)验也可以参(cān)照离(lí)心泵的启、停及串(chuàn)并联实验台实验(yàn)指导书介绍的方法进行试验,给出单泵运行时的Q-H特性曲线及双台泵串并联运行时(shí)的Q-H特性曲线(xiàn),以观察和验证泵的串、并联运行时的(de)基(jī)本规律。
五、试验(yàn)台的保养和维护
1、量水箱应保持清洁明亮(liàng)。
2、流量计的差压计,应注意防尘,以(yǐ)免影响测量精度。不用时(shí),应盖上塑料布或特制小盖。
3、易(yì)锈零部(bù)件,应注意防锈。
附:
实验(yàn)原理和方法参考
1、H—Q曲线
根据实验内容要求,在相应位置建立能(néng)量方程。
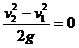
利用阀门调(diào)节流量,测定H、Q的数值。Q用计量水箱和秒表测定;H值可由下式计算:

式中:H——压力表(biǎo)读(dú)数,[Mpa] ,换算成水柱(zhù)高,[m]
V——真空表读数,[Mpa] ,换算成水柱(zhù)高,[m]
Z——压力表至真空表接出点(diǎn)之(zhī)间的高(gāo)度,[m]

——泵进(jìn)口流速(sù),一般进口和出口管径相同

所以

逐次改变阀门的开度,测得不同的

值和其相应得水头

值(

和

值),在Q—H坐标系(xì)中得到相应的若干测点(diǎn),将这些点光滑地连接起来,即得水泵得H—Q曲线。
2、N—Q曲线
测定泵在不同流量

时的泵输入功率(lǜ)

(为电(diàn)机的输出功率),绘制N—Q曲线。
逐次改变阀门的开度,测得不同的

值和(hé)其相应泵输(shū)入功率(lǜ)

值,在(zài)Q—N坐标系中(zhōng)得到相(xiàng)应(yīng)得若干测点,将这些点光滑地连(lián)接起来,即得水(shuǐ)泵得N—Q曲线
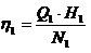
3.η—Q曲线
利用H—Q和N—Q曲线,任取一个

值可以得(dé)出(chū)相应的

和

值,由此可得该流量下得相应效率

值:

取(qǔ)若干个 值,并求得相应 和 值,即可算(suàn)出其相应的 值,在Q—η坐标系中可光滑地连出泵的(de)η—Q效率(lǜ)曲线。
实验数据(jù)可记录在如下的表格中:
|
No |
M(Mpa) |
V(Mpa) |
n(转/分) |
Q(Kg/s) |
备注 |
|
W(立方)t(秒) |
|
1 |
|
|
|
|
|
|
2 |
|
|
|
|
|
|
3 |
|
|
|
|
|
|
4 |
|
|
|
|
|
|
5 |
|
|
|
|
|
|
6 |
|
|
|
|
|
|
|
|
|
|
|
|
根据(jù)测试数据,在坐标系中点出测试点,最(zuì)后光滑地绘制出H—Q,N—Q和η—Q曲线。(可以(yǐ)在一张图上绘出)。
η
其(qí)他产品链接:
加强中职学(xué)生对弱电与强电认识
好氧堆肥实验装置使用说明
电机及电气技术实训装置
传感器实验台温度控制(zhì)仪表操作说明
太阳(yáng)能光伏发(fā)电综合实(shí)训系(xì)统使用说(shuō)明
电动机技术工作原理及运行维护
电机与拖动实验实训报告
光机电一体化实训设(shè)备实验室介(jiè)绍(shào)
机械设计实验室
齿轮范成仪使用说明书
基(jī)础电(diàn)工电子实验室设备
定制热管换热器(qì)实验台
家用电(diàn)器之电子消(xiāo)毒柜实验指导书
物联网射频识别综(zōng)合应用实验箱
初级维修电工实验台
臭氧氧(yǎng)化脱色实验说明书
萃取精馏教学实验指导书(shū)
二(èr)氧化碳PVT关系测定实验指导书(shū)
空气绝热指(zhǐ)数测定装置实验指导书
填料吸(xī)收实验装置使用指导书
超滤、纳滤、反渗透多功(gōng)能膜分离实验(yàn)装置说明
孔口管嘴实验(yàn)仪说明书
热电偶制(zhì)作校验仪说明书(shū)
好氧堆肥(féi)实验装置实(shí)验说明书
沿程阻力系数测定装置说明书
文丘里除尘器性能实验指导书(shū)
制冷压缩机性能测试实训装置指导书
化工传(chuán)热实验装(zhuāng)置使用说明书
数据采集板式静电除(chú)尘器指导书
太阳能光伏发电综合实训系统使用说明
《台虎钳》实测绘图组合训练装置(zhì)
自由对流横管管外放热系数测(cè)试装置使用说明书
流体力学综合实验装置使用说明书
《典型零件》实测绘图训练装置(zhì)
制(zhì)冷制热(rè)工作原理及实(shí)验目的