
(21)

(1)
(2)
(3)
(4)
(5)
(6)
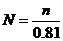
測點數
標出20個點,繪製
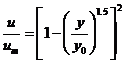
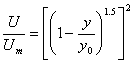
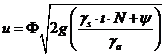
與
計算關(guān)係圖。將主體斷麵的(de)實測
與
繪在(zài)上圖內進行比(bǐ)較。
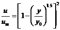
(11-1)
(11-2)
(11-3)
(11-4)
為由單位換算引出的係數,n為微壓(yā)計常數因子。

和無量綱坐標y/ y0;繪製無量(liàng)綱流速分布圖,見圖11-4並和半經驗公(gōng)式(11-1)進行比較。
|
序號 № |
測針讀數 (cm) |
Y (cm) |
微壓計斜管讀數 ι(mn酒精柱) |
u (m/s) |
u/um | y/y0 |
| 斷麵1 n=0 y 0=13mm | ||||||
| 1 | 13.06 | 1.3 | 112 | 32.447 | ||
| 2 | 13.56 | 0.8 | 112 | 32.447 | ||
| 3 | 13.96 | 0.4 | 112 | 32.447 | ||
| 4 | (中心點)14.36 | 0 | 112 | 32.447 | ||
| 5 | 14.76 | -0.4 | 112 | 32.447 | ||
| 6 | 15.16 | -0.8 | 112 | 32.447 | ||
| 7 | 15.66 | -1.3 | 112 | 32.447 | ||



微壓計n=0.6| x(mm) | t(mm) | x/ R0 | um/u0 | x(mm) | t(mm) | x/ R0 | um/u0 |
| 0 | 112 | 0 | 1.0 | 230 | 74 | 15.333 | 0.813 |
| 20 | 112 | 1.333 | 1.0 | 250 | 65 | 16.667 | 0.762 |
| 40 | 112 | 2.667 | 1.0 | 270 | 57.5 | 18.000 | 0.717 |
| 60 | 112 | 4.000 | 1.0 | 290 | 52 | 19.333 | 0.081 |
| 80 | 112 | 5.333 | 1.0 | 310 | 46 | 20.667 | 0.641 |
| 100 | 112 | 6.667 | 1.0 | 330 | 44 | 22.000 | 0.627 |
| 102 | 112 | 6.80 | 1.0 | 350 | 38 | 23.333 | 0.582 |
| 110 | 110.5 | 7.333 | 0.993 | 370 | 35 | 24.667 | 0.559 |
| 130 | 109 | 8.667 | 0.987 | 390 | 31 | 26.000 | 0.526 |
| 150 | 104 | 10.0 | 0.934 | 410 | 28 | 27.333 | 0.500 |
| 170 | 98 | 11.335 | 0.935 | 430 | 25 | 28.667 | 0.472 |
| 190 | 90 | 12.667 | 0.894 | 450 | 23 | 30 | 0.458 |
| 210 | 80 | 14.000 | 0.845 |
| 姓名 同組人 日期(qī) | |||||||||
|
設備編號 微壓計編號 噴(pēn)嘴形式 酒精容重 中心(xīn)點標心讀數 空氣溫度 大氣壓強 |
|||||||||
| 斷麵 | 測(cè)點 | 微(wēi)壓計讀數1(mm) | 中心點流速Um(m/s) | 中心點流速Um(m/s) | y/ y0 | U/Um | |||
| 編號 |
位置 X |
半寬 y0 |
編號(hào) |
位置 y1 |
|||||
品牌(pái)理(lǐ)念
標準流程
有效溝通
專業管理
優秀團隊
品質保證
無憂售(shòu)後 | 上海红桃视频app科教設備有限公司,立於上(shàng)海,心懷天下 |
生產基地:上海鬆(sōng)江葉榭工業園
業務電話:021-56311657 , 56411696 , 業務傳真:021-56411696 公司郵箱:shanghaimaoyu@126.com 教學設備(bèi)廠 滬公(gōng)網安備 31010702001294 號 滬ICP備13020377號(hào)-1 |