
(1)
—— i面的吸收率。
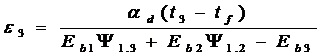
3(Eb.1 F1ψi.3+ Eb.2 F2ψ2.3+ε3Eb.3 F3)
3=ε3;ψ3.2=ψ1.2 又根据角系数的互换性F2ψ2.3= F3ψ3.2 ,则:
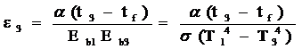
(t3tf)(3)
——换热系数
(4)
(5)
;
(6)
(7)
(8)
受——受体与环境的温差。
0——黑体与环境(jìng)的温差。
——受体为被测物体时的热源绝对(duì)温(wēn)度。|
序号
N0
|
热源 ℃ |
传导 ℃ |
受体(紫铜光面) ℃ |
备注 | |
| 1 | 2 | ||||
|
1 2 3 |
室温℃ | ||||
| 平均 ℃ | |||||
|
序号 N0 |
热源(yuán) ℃ |
传导 ℃ |
受体(紫铜薰黑) ℃ |
||
| 1 | 2 | ||||
|
1 2 3 |
|||||
| 平均 ℃ | |||||




品牌理念
标准流程
有效沟(gōu)通
专业管理
优秀团队
品质保证
无忧售(shòu)后 | 上海红桃视频app科教设备有限公司,立于上海,心怀天下 |
生产基地:上海松江叶榭(xiè)工业园
业务电话:021-56311657 , 56411696 , 业务传真:021-56411696 公司邮箱:shanghaimaoyu@126.com 教学设备厂 沪公网安备 31010702001294 号 沪ICP备13020377号(hào)-1 |