



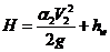
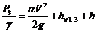
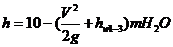
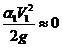
,以(yǐ)保证有一定的流量流出。由此可得虹吸管内的断面平(píng)均流(liú)速为(wéi):


及
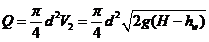
,则:





后,关闭供水阀。
品牌理念
标准流程
有效(xiào)沟通
专业管理
优秀团队
品质保证
无忧售后 | 上海红桃视频app科教设备有限公司,立于上海,心(xīn)怀天下 |
生(shēng)产基地:上海松江(jiāng)叶榭工业园
业务电话:021-56311657 , 56411696 , 业务传真:021-56411696 公司邮箱:shanghaimaoyu@126.com 教学设备厂 沪公网安备 31010702001294 号(hào) 沪ICP备13020377号-1 |