

)
)
——平均(jun1)溫度差(K)
,由實驗(yàn)測定Q、A、
即(jí)可求得K值。
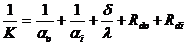
小於(yú)2),傳熱係數K與傳熱膜係數之間有(yǒu)如下關係:
——加熱管外壁(bì)麵的對流傳熱膜係數(
)
——加熱管(guǎn)內壁麵(miàn)的對流傳熱膜係(xì)數(
)
——加熱管外壁麵的(de)汙垢熱阻(
)
——加熱管(guǎn)內壁麵的汙垢熱阻(
)
》
,則有K≈
;
與(yǔ)相關(guān)準數關係(xì)的測定。
值進行分析討論。| 序號 | 氣體流量(liàng)V(m3/h) | 氣體入口T(℃) | 氣體出口T(℃) | 蒸汽入口T(℃) | 蒸(zhēng)汽出口T(℃) |
(℃) |
| 1 | ||||||
| 2 | ||||||
| 3 | ||||||
| 4 | ||||||
| 5 |
品牌理念
標準流(liú)程
有效溝通
專業管理
優秀團隊
品質保證
無憂(yōu)售後 | 上海(hǎi)红桃视频app科教設備有限公司,立於上海,心(xīn)懷天(tiān)下(xià) |
生產基地(dì):上海鬆江(jiāng)葉榭工業園
業務電話:021-56311657 , 56411696 , 業務傳真:021-56411696 公司郵箱:shanghaimaoyu@126.com 教學設備廠 滬(hù)公網安(ān)備 31010702001294 號 滬ICP備13020377號-1 |