


(1-4)


| 名稱 | 材質 | 管(guǎn)內徑(mm) | 測量段長度(cm) | |
| 管路號 | 管內徑(jìng) | |||
| 局部阻力 | 閘閥 | 1 | 20.0 | 50 |
| 光滑管 | 不鏽鋼管 | 2 | 20.0 | 130 |
| 粗糙管 | 鍍鋅鐵管 | 3 | 18.0 | 130 |
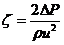
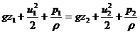
和u的(de)實驗測定值,可計算λ和ξ,在等溫條件下,雷諾數Re=duρ/μ=Au,其中A為常數,因此隻要調節管路流量,即可得到一係列λ~Re的實驗(yàn)點,從而繪出λ~Re曲線。| 序號 | 流量(m3/h) | 光(guāng)滑(huá)管壓差(mmHg) | 粗糙管壓差(chà)(mmHg) | 局部管壓差(mmHg) |
品牌理念
標準流程
有效溝通(tōng)
專業管理
優秀團隊
品質保(bǎo)證
無憂售後 | 上(shàng)海红桃视频app科教設備有限公司,立於上海,心(xīn)懷天(tiān)下 |
生產基地:上海鬆江葉榭工業園
業務電話:021-56311657 , 56411696 , 業務傳真:021-56411696 公司郵箱:shanghaimaoyu@126.com 教學設備廠 滬公網(wǎng)安備 31010702001294 號 滬ICP備13020377號(hào)-1 |